Lưu trữ danh mục: Blog
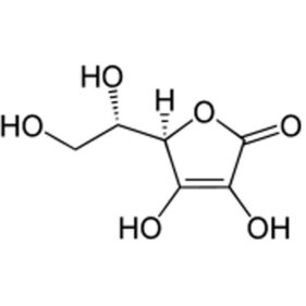
VITAMIN B7
VITAMIN B7 (BIOTIN) Biotin, hay còn gọi là vitamin H hay coenzyme R, thuộc vitamin...
07
Th4
Th4
Bệnh do Trùng bánh xe
BỆNH TRÙNG BÁNH XE Bệnh thường xuất hiện trên nhiều loại cá: Mè trắng,...
07
Th4
Th4
VITAMIN B2
VITAMIN B2 (RIBOFLAVIN) Riboflavin (vitamin B2) là một phần của vitamin nhóm B. Nó là...
07
Th4
Th4
VITAMIN B3
VITAMIN B3 (NIACIN) Niacin hay niaxin (còn được gọi là vitamin B3, axit nicotinic hay...
07
Th4
Th4
VITAMIN B5
VITAMIN B5 (PANTOTHENIC ACID) Acid pantothenic, còn gọi là pantothenate hoặc vitamin B5 (thuộc nhóm...
07
Th4
Th4
